Menu
×
   ❮     
HTML CSS JAVASCRIPT SQL PYTHON JAVA PHP HOW TO W3.CSS C C++ C# BOOTSTRAP REACT MYSQL JQUERY EXCEL XML DJANGO NUMPY PANDAS NODEJS DSA TYPESCRIPT ANGULAR ANGULARJS GIT POSTGRESQL MONGODB ASP AI R GO KOTLIN SWIFT SASS VUE GEN AI SCIPY AWS CYBERSECURITY DATA SCIENCE INTRO TO PROGRAMMING INTRO TO HTML & CSS BASH RUST

Data Science - Regression Table: R-Squared


R - Squared

R-Squared and Adjusted R-Squared describes how well the linear regression model fits the data points:

Regression Table - Stats of Coefficients

The value of R-Squared is always between 0 to 1 (0% to 100%).

  • A high R-Squared value means that many data points are close to the linear regression function line.
  • A low R-Squared value means that the linear regression function line does not fit the data well.

Visual Example of a Low R - Squared Value (0.00)

Our regression model shows a R-Squared value of zero, which means that the linear regression function line does not fit the data well.

This can be visualized when we plot the linear regression function through the data points of Average_Pulse and Calorie_Burnage.

Low R - Squared Value (0.00)

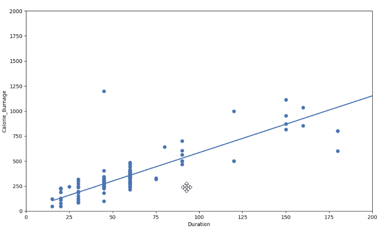
Visual Example of a High R - Squared Value (0.79)

However, if we plot Duration and Calorie_Burnage, the R-Squared increases. Here, we see that the data points are close to the linear regression function line:

Low R - Squared Value (0.00)

Here is the code in Python:

Example

import pandas as pd
import matplotlib.pyplot as plt
from scipy import stats

full_health_data = pd.read_csv("data.csv", header=0, sep=",")

x = full_health_data["Duration"]
y = full_health_data ["Calorie_Burnage"]

slope, intercept, r, p, std_err = stats.linregress(x, y)

def myfunc(x):
 return slope * x + intercept

mymodel = list(map(myfunc, x))

print(mymodel)

plt.scatter(x, y)
plt.plot(x, mymodel)
plt.ylim(ymin=0, ymax=2000)
plt.xlim(xmin=0, xmax=200)
plt.xlabel("Duration")
plt.ylabel ("Calorie_Burnage")

plt.show()
Try it Yourself »

Summary - Predicting Calorie_Burnage with Average_Pulse

How can we summarize the linear regression function with Average_Pulse as explanatory variable?

  • Coefficient of 0.3296, which means that Average_Pulse has a very small effect on Calorie_Burnage.
  • High P-value (0.824), which means that we cannot conclude a relationship between Average_Pulse and Calorie_Burnage.
  • R-Squared value of 0, which means that the linear regression function line does not fit the data well.

×

Contact Sales

If you want to use W3Schools services as an educational institution, team or enterprise, send us an e-mail:
sales@w3schools.com

Report Error

If you want to report an error, or if you want to make a suggestion, send us an e-mail:
help@w3schools.com

W3Schools is optimized for learning and training. Examples might be simplified to improve reading and learning. Tutorials, references, and examples are constantly reviewed to avoid errors, but we cannot warrant full correctness of all content. While using W3Schools, you agree to have read and accepted our terms of use, cookies and privacy policy.

Copyright 1999-2025 by Refsnes Data. All Rights Reserved. W3Schools is Powered by W3.CSS.

-->